Дихотомические вопросы в анкетах: что это, где используются, преимущества и недостатки
Полезные статьи18 марта 2026 Время чтения ≈ 8 мин.
Дихотомия (от греч. «деление») — это разделение на две части или на два взаимоисключающих класса. Соответственно, дихотомические вопросы — это закрытые вопросы, на которые можно ответить только одним из двух противоположных по смыслу вариантов. Например, да/нет, согласен/не согласен, нужно/не нужно, купил бы/не купил бы и т.д.
Такие вопросы задают в тех случаях, когда нужно получить быстрый, чёткий, однозначный ответ на поставленный вопрос, сузив круг вариантов до минимума. Главное достоинство дихотомических вопросов заключается в том, что они максимально снижают когнитивную нагрузку на респондента и исключают промежуточные, «серединные» или уклончивые варианты ответа. Благодаря этому полученные данные легко поддаются анализу, а респонденты охотнее участвуют в опросах.
Когда используют дихотомические вопросы
Примеры таких вопросов можно встретить в маркетинговых исследованиях, где их применяют для первичной фильтрации респондентов. Например, ремонтным мастерским и автосервисам есть смысл предлагать свои услуги только тем, у кого есть автомобиль. А бренду косметики – расспрашивать о том, нравится ли их продукция, только тех, кто уже ею пользуется.
Наиболее распространенные случаи применения дихотомических вопросов:
- Для быстрого сегментирования аудитории
- Для уточнения конкретного факта
- Для фильтрации респондентов по конкретному признаку
- Для того, чтобы респонденты заполнили анкету максимально быстро
- В мобильных опросах
- Для исследования бинарных характеристик
- В A/B-тестах
Важно, чтобы дихотомические вопросы были простыми, недвусмысленными и короткими. В этом случае можно существенно упростить и ускорить проведение опроса.
Создать анкету с простыми и интуитивно понятными вопросами поможет WebAsk. В нашем конструкторе более 14 типов элементов с тонкими настройками логики.
Читайте по теме: Открытые vs закрытые вопросы.
Какие бывают дихотомические вопросы
Главный критерий классификации таких вопросов сводится в основном к формулировке ответов.
- Да/Нет – подходит для сбора простой информации, которая требует бинарного ответа.
- Верно/Неверно – позволяет прояснить конкретные факты или концепции.
- Согласен/Не согласен – помогает выяснить мнение человека по конкретному вопросу.
- Нужно/Не нужно – проясняет мнение сотрудников, покупателей, жильцов дома и т.п.
Отдельная разновидность дихотомических вопросов – те, которые требуют выбора одного из двух противоположных по смыслу ответов, не используя «да» или «нет». Например, «Вы охотнее заведете кошку или собаку?» или «Вы чаще совершаете покупки онлайн или оффлайн?». Это может быть в том числе и оценка: плохо/хорошо, нравится / не нравится.
Как правильно формулировать дихотомические вопросы
Опросники с вопросами, требующими выбрать всего один из двух вариантов, любят и составители анкет, и респонденты. Но у них есть некоторые важные ограничения, поэтому, формулируя вопросы, нужно учесть несколько важных моментов:
- Варианты ответов обязательно должны быть взаимоисключающими, а сам вопрос – чётким и не предусматривающим третьего варианта ответа.
- При формулировке следите за тем, чтобы в вопросе не было двойного отрицания («Не может ли быть такого, что вы не станете…»).
- Не используйте варианты ответов типа «всегда» / «никогда», если только речь не идёт о каком-нибудь факте.
- Формулировка должна быть нейтральной, без наводки на социально желательный ответ, иначе именно его и даст респондент – так смысл анкетирования теряется.
Материал о том, как респонденты искажают свои ответы.
Составляя длинный опросник, предусматривающий односложные ответы с выбором одного из двух вариантов, включайте один и тот же вопрос, сформулированный по-разному. Это позволит определить, насколько респонденты последовательны в свих ответах.
Материал о «тяжёлой» математике и статистике – Как найти статистические отклонения (выбросы) в опросах.
Преимущества и недостатки дихотомических вопросов
Все главные достоинства таких вопросов в анкетах сводятся к двум пунктам – скорость и простота. Респондент тратит буквально несколько секунд на ответ, а на заполнение анкеты уходит минимум времени. Выбрать между двумя противоположными вариантами всегда проще, чем давать развёрнутый ответ или выбирать один из 5-10 наиболее подходящих пунктов. Так в анкете с большой вероятностью не будет пропусков.
Для тех, кто будет обрабатывать опросы, есть свои плюсы:
- Очень простая обработка данных.
- Легко строить логику ветвления в анкете.
- Высокая надёжность результатов.
В анкету можно включить от 10 до 20 дихотомических вопросов – это не вызовет раздражения и усталости у респондентов. Такие опросы обычно проходят с большим процентом завершений, чем любые другие.
Но, как и любая методика, дихотомические вопросы имеют ограничения/недостатки:
- Потеря информации и искажение результатов. Например, даже если человек частично согласен, он будет вынужден выбрать вариант «не согласен», поскольку вариант «согласен» в его случае точно не подходит.
- Бинарность выбора может провоцировать людей давать социально желательные ответы – отвечать «да», чтобы угодить.
- Вопросы могут раздражать, если респондент чувствует, что вопрос слишком упрощен или не отражает реальность.
Если человек не хочет тратить усилия на прохождение опроса или спешит, он просто проставит галочки в произвольном порядке, что снизит надёжность результатов. Но этот минус можно отнести и к любым другим опросам, поэтому важно, чтобы респонденты принимали участие в опросе добровольно и с готовностью.
7 советов по составлению понятных вопросов для опроса.
Как оценить результаты дихотомического опроса?
Оценка результатов дихотомического опроса – одна из самых простых и надёжных задач в анализе данных. Однако, даже здесь возможно применение сложных статистических моделей и «тяжёлой» математики.
Ниже о том, какие подходы есть для оценки и анализа дихотомических вопросов.
1. Основные метрики (то, что считаем в первую очередь)
- Процент ответов «Да» или любого другого положительного варианта. Формула элементарная: (количество «Да» / общее количество ответивших) × 100 %. Это самая главная метрика, которая показывает, насколько сильно мнение респондентов склоняется в одну сторону.
- Процент ответов «Нет» (или любых других отрицательных ответов). Считается по аналогии с процентом положительных ответов. Зная обе метрики, вы получаете наглядное соотношение: да/нет, готов / не готов, одобряю / не одобряю и т.п.
- Доверительный интервал – будет полезен для понимания репрезентативности выборки. Для доли в генеральной совокупности используйте формулу доверительного интервала. Среднее значение выборки ± (Z × (Стандартное отклонение совокупности / √ Размер выборки)). Z-балл должен соответствовать желаемому уровню достоверности: для 90% – ±1,645, для 95% – ±1,96, для 99% – ±2,576. Так вы сможете понять, в каком диапазоне и с какой вероятностью можно считать достоверность ответов для всей генеральной совокупности, например, при масштабировании на всю целевую аудиторию.
- Размер выборки и погрешность. Если погрешность больше 3-5 %, то в определённых задачах выводы уже могут быть ненадёжными. Базовая формула: Z × (стандартное отклонение / √ размер выборки).
2. Сравнение групп (кросс-таблицы и значимость различий)
Если есть сегменты, например, мужчины/женщины, возраст 18–30 / 31–45 лет, регионы и т.д., то уже логично дополнительно считать:
- Долю «Да» / «Нет» в каждой группе.
- Разницу между группами (в процентных пунктах).
- Статистическую значимость различий с помощью:
- Критерий хи-квадрат (χ²).
- Точный критерий Фишера.
- Z-тест для долей — если выборки большие.
3. Визуализация
Формат отображения данных в отчётах тоже предельно важен. Как лучше показать результаты дихотомических опросов и тестов:
- Столбчатая диаграмма – с двумя столбцами: % Да и % Нет.
- Круговая диаграмма — лучший формат для визуализации долей и их соотношения.
- Столбцы с разбивкой по сегментам — например, для сравнения групп или сегментов.
- Таблица сопряжённости + % по строкам/столбцам.
Типичные ошибки при интерпретации результатов
- Утверждать, что «60 % согласны» без указания доверительного интервала. Чтобы получить 100% уверенность по ответам, нужно опросить всю целевую аудиторию. В маркетинговых исследованиях это нереально. Здесь всегда опрашивается только небольшая доля или сегмент, фокус-группы.
- Считать значимой разницу в несколько процентов. Например, 52 % против 48 %. В большинстве случаев это просто разница из-за погрешности.
- Забывать про отказы от ответа. Каждый «неответ» – это сигнал о низком качестве вопроса. Доля отказов слишком большая, маркетологу стоит уточнить формулировку вопроса и разобраться в вариантах ответов более детально. Дихотомические вопросы могут быть применимы далеко на для всех тем и задач.
- Делать выводы о причинах тех или иных ответов. Дихотомия даёт только статистику, то есть срез или картину того, как аудитория воспринимает / относится к чему-либо. Для глубинного понимания причин нужны открытые вопросы.
Предметный пример расчёта метрик и анализа дихотомического опроса
Предположим, что компания хочет вывести на рынок новый гаджет. Чтобы проверить спрос, она провела онлайн-опрос среди 500 респондентов. Целевые клиенты – мужчины и женщины 25–45 лет. Главный вопрос:
- Готовы ли вы купить этот товар по цене 29 990 ₽?
Предположим, что результаты получились следующими:
- «Да» – 320 человек.
- «Нет» – 180 человек.
Размер выборки = 500. Далее посчитаем основные метрики.
1. Соотношение долей ответов
Доля готовых купить – 320 / 500 = 0,64 или 64,0 %.
Доля не готовых = 180 / 500 = 0,36 или 36,0 %.
2. Погрешность и доверительный интервал
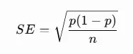
Формула стандартной ошибки:

Формула погрешности (при 95% доверии, z = 1,96):

Подставляем значения (p – это доля готовых купить товар):
- SE ≈ 0,0215.
- Погрешность = ± 0,0421 (или ± 4,2 %).
95% доверительный интервал для доли «да»:
- p±E
После расчётов получаем – от 59,8 до 68,2 %.
Это значит, что вероятностью 95 % в генеральной совокупности (все потенциальные клиенты) доля тех, кто готов купить товар, лежит между 59,8 % и 68,2 %. То есть мы можем уверенно говорить, что минимум 60 % аудитории позитивно настроены – для уверенности округлили вниз.
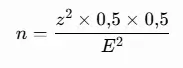
3. Какой должен быть размер выборки?
Если мы хотим получить погрешность ±5 % при максимальной неопределённости (p = 0,5), то формула размера выборки:

При z = 1,96 и E = 0,05 получаем, что n ≈ 385 респондентов. Многие исследователи для надёжности округляют выборку в большую сторону, в нашем случае можно округлить до 400, чтобы был «запас прочности».
В примере мы использовали выборку на 500 человек. Это больше необходимого, поэтому погрешность получилась лучше – ±4,2 % вместо ±5 %.
4. Краткие выводы для бизнеса
64 % ± 4,2 % — это неплохой результат для нового товара. Даже согласие покупки в 50–55 % случаев уже считается перспективным.
При такой достоверности исследования вполне можно запускать реальные продажи.
Если бизнесу требуется большая точность исследования, например, около ±3 %, то нужно будет увеличить выборку уже примерно до 1100 человек. Соответственно, опрос на 500 респондентов нужной точности и достоверности не обеспечит.
Обратите внимание! При проведении опроса предельно важно следить за тем, чтобы характеристики аудитории в выборке максимально соответствовали характеристикам генеральной последовательности. В противном случае, если выборка нерепрезентативная, результаты исследования будут искажёнными.
Итоги и рекомендации
Дихотомические вопросы дают очень чистые, надёжные и легко интерпретируемые данные. Именно поэтому их так любят в маркетинговых и UX-исследованиях. Главное – не пытаться вытянуть из них глубину мнений, а использовать как быстрый и точный фильтр или измеритель фактического состояния.
Для многих маркетинговых исследований важно не только удобство проведения опросов, но и наличие готовой аудитории с подбором респондентов по конкретным критериям. И то, и другое вы сможете найти в нашем сервисе WebAsk.
Опубликовано 18 марта 2026
Александр Бабенко
Дмитрий Молчанов
Алексей Логинов